A Level 数学单词不是很多,只有两百多个,但是想要记住这些A Level 单词并不是很简单,很容易混淆,今天A/O Level考试资讯网就拿几组易混词汇来说明相似单词的不同之处。
Gradient and Tangent line
Gradient指 a slope or a degree of slopes, especially in a road or railway. 所以gradient指坡度,斜度,在我们数学当中主要指斜率。
Tangent 指 straight line that touches the outsides of a curve but does not cut across it. 所以 tangent line 指我们所谓的切线。Tangent line 有时也被叫做equation. 很多学生再看到题目中求 equation 时都只求 gradient而对 tangent line 不管不问。

来源于CIE Page 76
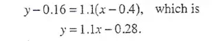
关于gradient的话,是斜率,是一个数
所以我们有
![]()
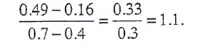
关于tangent line的话 要求的是一个方程式
所以我们有

Differentiation 和 Derivative
Differentiation 是 the mathematical process of obtaining the derivate of a function. 所以differentiation 是一种方法,是一种求derivative 的方法。
Derivative 是 something that has developed or been produced from something else. 所以 derivative 是一个数,或是一个从原方程的衍生品。
Show 和 Prove
这两个词也是学生经常会搞混的两个词,到底证明和展示有什么区别?
Show 是 to provide facts or information that make it clear that something is true, that something exists, or that something has happened.
Prove 是 to show that something is true by providing facts, information.
从表面看, show 和 prove 并没有太大区别, 然而,如果题目要求你prove, 你必须提供严格的证明过程,运用定律或法则,如果题目要求你show, 你则可以使用语言和图形配合区展示你的理论,要求上并没有prove 那么严格。
以上为A/O Level考试资讯网为大家整理的几组易混词汇,借此来说明相似单词的不同之处。更多精彩资讯,欢迎关注A/O Level考试资讯网。
